2022年(令和4年) 春期 ITサービスマネージャ 午前 問24

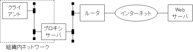
図は、組織内のTCP/IPネットワークにあるクライアントが、プロキシサーバ、ルータ、インターネットを経由して組織外のWebサーバを利用するときの経路を示している。 この通信のTCPコネクションが設定されている場所はどれか。

 ア  クライアントとWebサーバの間、クライアントとプロキシサーバの間
 イ  クライアントとプロキシサーバの間、プロキシサーバとWebサーバの間
 ウ  クライアントとプロキシサーバの間、プロキシサーバとルータの間、ルータとWebサーバの間
 エ  クライアントとルータの間、ルータとWebサーバの間


答え イ


解説
図のような構成でクライアントがWebサーバへアクセスする場合のTCPコネクションはクライアントとプロキシサーバの間、プロキシサーバとWebサーバの間(イ)で行われ、プロキシサーバがクライアントとWebサーバ間の通信の中継を行います。
そのため、Webサーバから見て組織内のクライアントは1つのマシン(プロキシサーバ)からのアクセスに見えます。
なお、TLS(SSL)を使用した通信の場合、プロキシサーバで中継を行うのは困難なため、クライアントとWebサーバが直接通信を行うことが多いです。(トンネリング)


キーワード
・プロキシサーバ

キーワードの解説
  • プロキシサーバ(proxy server)
    内部ネットワークからインターネット接続を行う際、高速なアクセスや安全な通信などを確保するための中継サーバのことです。
    プロキシサーバは内部ネットワークのクライアントからの要求でWebサーバから得たデータを一時的に記憶し、クライアントから同一の要求があった場合は、プロキシサーバが記憶したデータを返すことで高速なアクセスを実現しています。
    また、外部ネットワークからクライアントへのデータをプロキシサーバでチェックすることで不正なアクセスを防止しています。

もっと、「プロキシサーバ」について調べてみよう。

戻る 一覧へ 次へ