2025年(令和7年) 春期 システムアーキテクト 午前 問8

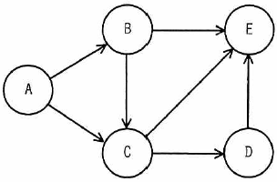
プログラムの構造的な複雑度を測る尺度としてMcCabeが提唱したサイクロマティック複雑度がある。 制御の流れが次のグラフで表されるプログラムのサイクロマティック複雑度は幾らか。 ここで、エッジの個数をe、ノードの個数をnとし、サイクロマティック複雑度はe - n + 2で求めるものとする。

 ア  3  イ  4  ウ  5  エ  7


答え イ


解説
ノードはグラフ内の要素を表す点、エッジはノード同士を結ぶ線なので、図のグラフのノードは5個(n)、エッジは7個(e)なのでサイクロマティック複雑度は
 e - n + 2 = 7 - 5 + 2 = 4
(イ)である。


キーワード
・サイクロマティック複雑度

キーワードの解説
  • サイクロマティック複雑度(cyclomatic complexity、循環的複雑度)
    ソースコードの複雑さを定量的に示す指標の一つで、線形的に独立な経路の数を数値化します。

もっと、「サイクロマティック複雑度」について調べてみよう。

戻る 一覧へ 次へ