図は、階層化されたDFDにおける、あるレベルのDFDの一部である。
プロセス1を子プロセスに分割して詳細化したDFDのうち、適切なものはどれか。
ここで、プロセス1の子プロセスは、プロセス1-1、1-2及び1-3と表す。

| ア | ![]() |
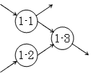
| イ | ![]() |
| ウ | ![]() |
| エ | ![]() |
答え イ
【解説】
問題のDFDを見ると、プロセス1には2つの入力、2つの出力がある。
| ア | プロセス1には2つの入力と、2つの出力があるが、入力が1つしかないので適切でない。(×) |
| イ | プロセス1と入力と出力の数もあっていて、各子プロセスの入力・出力があるので適切である。(〇) |
| ウ | プロセス1には2つの入力と、2つの出力があるが、出力が1つしかないので適切でない。(×) |
| エ | 子プロセス1-2への入力がないので、DFDとして適切でない。(×) |
【キーワード】
・DFD