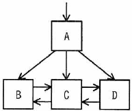
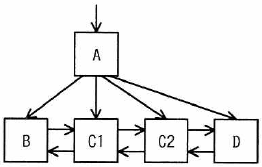
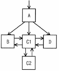
関係データベースのテーブルにレコードを1件追加したところ、インデックスとして使う、B+木のリーフノードCがノードC1とC2に分割された。 ノード分割後のB+木構造はどれか。 ここで、矢印はノードへのポインタとする。 また、中間ノードAには十分な空きがあるものとする。

| ア | ![]() |
| イ | ![]() |
| ウ | ![]() |
| エ | ![]() |
答え イ
【解説】
リーフノードCがノードC1とC2に分割されると、ノードC1とC2は相互にポインタで結ばれる関係になる。
また、中間ノードAからリーフノードCへのポインタは中間ノードAに十分な空き容量があるので分割されたノードC1とC2の両方に付与される。
さらに、リーフノードBとDとリーフノードCの間のポインタは分割されたノードC1とC2のいずれかとの間で継承される。
これをまとめ図にすると

(イ)になる。
【キーワード】
・B+木インデックス