2024年(令和6年) 秋期 データベーススペシャリスト 午前 問8

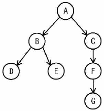
図のツリー構造に対するでーたを格納した“隣接リスト”表から、リーフノードを取得するSQL文のaに入れる字句はどれか。 ここで、図の丸はノードを表し、矢印は親ノードから子ノードへの関係を表す。

[SQL文]
SELECT 子ノード FROM 隣接リスト
  a  
SELECT 親ノード FROM 隣接リスト

 ア  EXCEPT
 イ  INTERSECT
 ウ  UNION
 エ  UNION ALL


答え ア


解説
リーフノード(葉)は親ノードがあって子ノードがないノードなのでSQL文としては、子ノードの要素から親ノードの要素を取り除く
 SELECT 子ノード FROM 隣接リスト
 EXCEPT
 SELECT 親ノード FROM 隣接リスト
(ア)になる。


キーワード
・隣接リスト

キーワードの解説

戻る 一覧へ 次へ