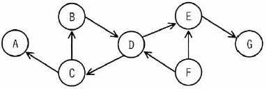
トランザクションA〜Gの待ちグラフにおいて、永久待ちの状態になっているトランザクション全てを列挙したものはどれか。 ここで、待ちグラフのX→Yは、トランザクションXはトランザクションYがロックしている資源のアンロックを待っていることを表す。
[トランザクションA〜Gの待ちグラフ]

| ア | A、B、C、D |
| イ | B、C、D |
| ウ | B、C、D、F |
| エ | C、D、E、F、G |
答え ウ
【解説】
永久待ち(デッドロック)の状態とは、互いがロックしている資源をロックしようとしてしまう状態なので、待ちのグラフがループしているトランザクションB、C、Dがこれにあたります。
また、トランザクションFは永久待ち状態になる可能性のあるトランザクションDがロックしている資源をロックしようとするのでこれもまた永久待ち状態になります。
【キーワード】
・デッドロック