2024年(令和6年) 秋期 プロジェクトマネージャ 午前 問10

工程別の生産性が次のとおりのとき、全体の生産性を表す式はどれか。

[工程別の生産性]
設計工程:Xステップ/人月
製造工程:Yステップ/人月
試験工程:Zステップ/人月

 ア  X + Y + Z
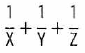
 イ  
 ウ  
 エ  


答え エ


解説
キーワードに書いたように、開発したソフトウェアのステップ数をNステップとして考えます。


キーワード
・生産性

キーワードの解説

戻る 一覧へ 次へ