2024年(令和6年) 春期 応用情報技術者 午前 問52

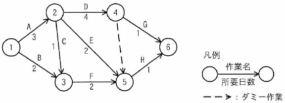
次のアローダイアグラムで表されるプロジェクトがある。
結合点5の最早結合点時刻は第何日か。

 ア  4
 イ  5
 ウ  6
 エ  7


答え エ


解説
“最早結合点時刻”とはその作業を最も早く開始することができる時刻(日)のことであり、結合点1から結合点5に至る経路は

があり、最早結合点時刻はこの中で最も遅い7日(エ)になる。

[参考]
アローダイアグラムでは最早結合点時刻のほかに最遅結合点時刻というのもあります。
最遅結合点時刻とは全体の作業の納期に遅れない結合点の作業の開始できる最も遅い時刻(日)のことです。


キーワード
・アローダイアグラム

キーワードの解説

戻る 一覧へ 次へ