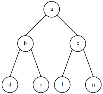
図の木構造は2分探索木である。 a〜gの値の大小関係として、適切なものはどれか。 ここで、a〜gの値は重複しないものとする。

| ア | a<b<d<e<c<f<g |
| イ | d<b<e<a<f<c<g |
| ウ | d<e<f<g<b<c<a |
| エ | g<f<c<e<d<b<a |
答え イ
【解説】
2分探索木は左の子は親より値が小さく、右の子は親より値が大きいので、値が一番小さいのはdで、次はdの親のb、その次dの右の子のはe、その次はbの親のa、その次はf、その次はd、その次はgとなるので、
d<b<e<a<f<c<g
(イ)である。
【キーワード】
・2分探索木