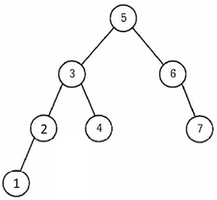
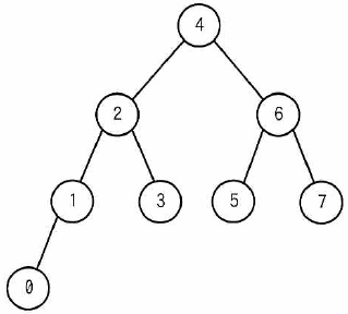
図の2分探索木に1と0の二つの要素を順に追加したAVL木として、適切なものはどれか。

| ア | ![]() |
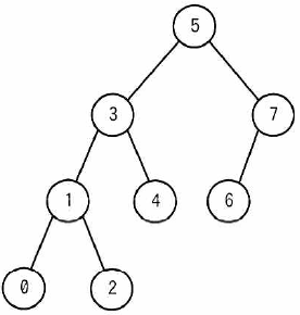
| イ | ![]() |
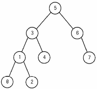
| ウ | ![]() |
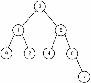
| エ | ![]() |
答え ウ
【解説】
AVL木(Adelson-Velskii and Landis' tree)は、各ノードについて、左右の部分木の高さの差が1以下になるように維持された2分探索木です。
問題の2分探索木に1の要素を追加すると、1は2分探索木の中で最小の要素の2よりも小さいので、2の左の子になる。

さらの、0の要素を追加すると、0はは2分探索木の中で最小の要素の1よりも小さいので、1の左の子になるが、これだと2の親の3から見て左右の部分木の高さの差が2になってしまうので、

要素3の左の部分木について並び替えを行い

(ウ)になる。
また、これはAVL木としても条件を満たしている。
【キーワード】
・2分探索木